水利工程系

2026年水利工程专业(专本贯通)学生过程性考核公示

发布时间:2025-11-18文章来源: 浏览次数:

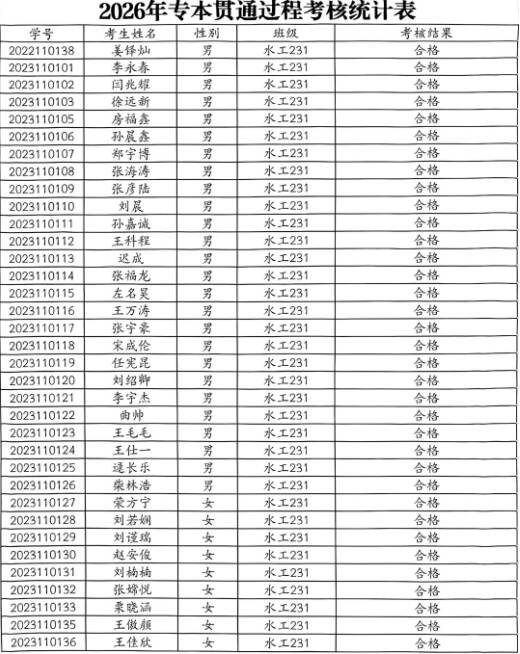
         根据《山东省职业院校与本科高校对口贯通分段培养转段工作实施方案》(鲁教学发〔20153号)和《关于做好2026年职业院校与本科高校对口贯通分段培养转段工作的通知》(鲁教学函〔202522号)等文件精神,对我校水利工程专业20263+2”对口贯通分段培养班级学生过程考核合格名单予以公示,公示期7天,如有异议,请反馈7205办公室。名单如下: